GLP1R&GIPR Dual Reporter Cell
CBP71499
| I. Background | |
|
GLP-1R 與其他四種胰高血糖素受體(GCGR、GLP-2R、GIPR 和 GHRHR)一起屬于 促胰液素(B1 類)GPCR 家族,其內源性配體是肽激素。 B1 類 GPCRs 在 N 端具有一個 較大的、結構保守的胞外結構域(ECD),由 120-160 個殘基組成,形成三層 α-β-β-α 折疊, 并由三個層間二硫鍵穩(wěn)定。 |
|
| II. Description | |
|
GLP1R&GIPR Dual Reporter Cell 報告基因藥靶模型很好的模擬了體內 GLP1R&GIPR的信號轉導過程,原理見下圖所示。
|
|
| III. Introduction | |
| Expressed gene: | GLP1R&GIPR |
| Stability: | 32 passages (in-house test, that not means the cell line will be instable beyond the passages we tested.) |
| Freeze Medium: | 90% FBS+10% DMSO |
| Culture Medium: | DMEM+10%FBS+ 2 μg/ml puro+ 5 μg/ml Blasticidin+ 200 μg/ml Hygromycin B |
| Mycoplasma Testing: | Negative |
| Storage: | Liquid nitrogen |
| Application(s): | Functional assay for GLP1R&GIPR |
| Transducer: | Gs |
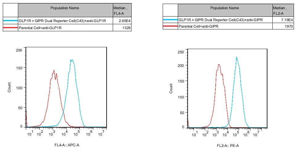
IV. Representative Data![]()
![]() |
|
|
Figure 3. Dose response of Agonists in GLP1R&GIPR Dual Reporter Cell(C43).
|
|


